
01
1. Fabric density
Fabric density It refers to the number of yarns per unit length in the warp or weft direction of the fabric, represented by M, and can be divided into warp density and weft density. Warp density, also known as warp density, is the number of warp threads per unit length in the weft direction of the fabric; weft density is similarly defined. The warp density and weft density are both measured in “root/10cm”. It is customary to write the warp density and weft density from left to right as “M-XM”, such as 236X220, which means that the warp density of the fabric is
236 threads/10cm, weft density is 220 threads/10cm.
If you need to express the warp and weft yarn density and warp and weft density of the fabric at the same time, you can write them in the following format from left to right:
NtT× NtW× MT×MW
In most fabrics, the warp and weft density configuration is greater than or equal to the weft density.
The warp and weft density of the fabric has a great impact on the performance and appearance of the fabric. Obviously, if the warp and weft density is high, the fabric will be tight, thick, stiff, strong, and wear-resistant; if the density is low, the fabric will be thin, soft, and breathable. At the same time, the ratio of warp and weft density will also cause significant differences in fabric performance and style, such as plain cloth vs. poplin vs. serge, gabardine vs. khaki, etc.
The warp and weft density can only be used to compare the tightness of fabrics with different densities of the same organization and made of yarns of the same diameter. When the diameters of the yarns are different, there is no comparison.
02
2 , fabric tightness
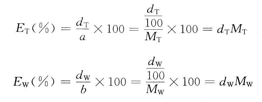
Fabric tightness, also known as coverage coefficient, refers to the ratio of the projected area of the yarn to the area of the fabric, represented by E. There are warp tightness and weft tightness. According to the definition, the calculation formula of longitude and latitudinal tightness can be obtained:

中文:
ET and EW—meridian and weft tightness;
dT and dW – warp and weft diameter (mm);
a and b ——The center distance between two adjacent yarns (mm);
MT and MW—warp and weft density (root/10 cm).
Total tightness of fabric

Consider the relationship between yarn diameter and yarn fineness

, then

The diameter coefficients of several yarns are shown in the table below.
Diameter coefficient of yarn
|
Yarn category |
Diameter coefficient C |
|
Cotton |
0.037 |
|
Combed hair Yarn |
0.040 |
|
Carded wool yarn |
0.043 |
|
Ramie yarn |
0.038 |
|
Silk |
0.037 |
|
Polyester/cotton (65/35) yarn |
0.039 |
|
Polyester/viscose (65/35) yarn |
0.039 |
|
Polyester/nitrile (50/50) yarn |
0.041 |
|
Mao/ Sticky (65/35) woolen yarn |
0.041 |
Various fabrics, even if the raw materials and organization are the same , if the tightness is different, it will also cause differences in performance and appearance. Tests have shown that fabrics that are too tight in the warp and weft directions have increased rigidity, decreased wrinkle resistance, increased flat abrasion resistance, reduced torture resistance, and a hard feel; if the fabric is too tight, the fabric is too loose and lacks body. .
In addition, there are certain constraints between the meridional tightness, the latitudinal tightness and the total tightness. Under the condition that the total tightness is certain, when the ratio of warp tightness to weft tightness is 1, the fabric appears the tightest and has the greatest rigidity; when the ratio between the two is greater than 1 or less than 1, the fabric is softer and has good drape. .
r-style: solid; border-color: gainsboro;”>
0.041
Various fabrics, even if the raw materials and structures are the same, if the tightness is different, the performance and appearance style will be different. Tests have shown that fabrics with excessive tightness in the warp and weft directions have increased rigidity and poor wrinkle resistance. Decreased, the flat abrasion resistance increases, while the torture resistance decreases, and the hand feels hard; if the tightness is too small, the fabric is too loose and lacks body bones.
In addition, there is a certain restrictive relationship between the warp tightness, the weft tightness and the total tightness. Under the condition of a certain total tightness, when the ratio of warp tightness to weft tightness is 1, the fabric It appears to be the tightest and most rigid; when the ratio between the two is greater than 1 or less than 1, the fabric is softer and has good drape.


